2021福州职业技术学院补充招聘笔试成绩及面试时间公告
一、公共笔试成绩
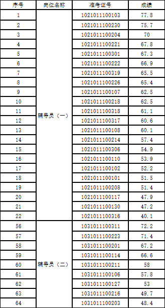
我校于于11月13日组织了辅导员岗位的公共笔试工作,现将公共笔试成绩公告如下:

二、教师岗位及辅导员岗位入闱面试人员(须先进行资格复审)
根据学院招聘公告,笔试成绩合格分数线为60分,从达到笔试合格线者中,根据笔试成绩从高到低,按岗位拟招聘人数与进入面试人数1:3的比例确定面试人选(比例不足按实有人数确定),符合参加面试人员准考证如下:

二、资格复审
参加面试前,入闱面试的考生须先进行资格复审。教师岗位及辅导员岗位的资格复审时间:2021年12月7日、2021年12月8日每日上午9:00-11:00。
请参加面试的应聘人员携带相关材料的原件及复印件至福州职业技术学院大学城校区门口(福州市大学城联榕路8号)进行资格审查。进入面试人员应在我校规定的时间内提交报考岗位要求的相关证件原件及复印件,如无法提供,视为资格审核不合格。复审材料包括:
(一)准考证、身份证(原件、复印件)。
(二)学历、学位证书原件及复印件,中国高等教育学生信息网上查询的《学历证书电子注册备案表》原件。取得境外学历学位报考者应提交教育部留学服务中心学历学位认证书原件、复印件。
(三)已参加工作的报考者,需提交现工作单位人事主管部门出具的同意报考的证明(或与单位解除劳动合同关系的证明),若暂时无法提交的,经学校人事处同意后最迟可延至体检前提交。
(四)报考岗位要求的所在院校盖章的学生干部证明(原件、复印件)。
(五)报考岗位要求的党员证明(原件、复印件)。
缺少上述材料者,不得参加面试。凡有关材料主要信息不实的,取消录用资格。
面试递补截止至面试前两个工作日,以确保对递补人员同样进行严格的资格复审。
外地面试人员路费、食宿费等自理。
请以上应聘人员在此期间确保手机畅通,以方便我校联系。
三、面试时间、地点及形式内容
(一) 专业面试
教师岗位专业面试与辅导员岗位专业面试时间:12月15日(周三)下午2:00-4:00。请应聘人员于面试当天下午1:00到福州职业技术学院大学城校区(福州市大学城联榕路8号)指定教室集中,具体地点见考试当天考场一楼大厅公布的面试室及候考室分布图。2:00面试开始后未到场者视为自动弃权。
*由于疫情防控需要,需检查八闽健康码、行程码、新冠病毒核酸检测阴性证明(纸质)、疫情防控承诺书、测量体温等,耗时长,要求面试当天下午1:00前到达考点。
教师岗位专业面试考生的编写教案时间为30分钟;专业面试时间为25分钟,其中说课10分钟,试讲10分钟,回答问题5分钟。
教师岗位专业面试参考教材如下:

辅导员岗位专业面试以回答问题的形式进行。专业面试答题时间为15分钟,其中含考生思考准备时间5分钟。不提供面试参考用书。
(二)实际操作能力考核
信息安全与管理专任教师岗位需要进行实际操作能力考核,实际操作考核时间为专业面试次日(即12月16日)。请应聘人员于实操考核当天下午1:00到福州职业技术学院大学城校区(福州市大学城联榕路8号)指定教室集中,具体地点见考试当天考场一楼大厅公布的面试室及候考室分布图。2:00实操考核开始后未到场者视为自动弃权。
*由于疫情防控需要,需检查八闽健康码、行程码、新冠病毒核酸检测阴性证明(纸质)、疫情防控承诺书、测量体温等,耗时长,要求实操考核当天下午1:00前到达考点。
实际操作具体内容如下:

四、考生进入考场防疫要求
*每位考生进入考点均须提供考前48小时内核酸检测阴性证明报告(纸质)

考试疫情防控措施将根据疫情防控形势变化适时调整。
国内疫情中高风险地区可至中央人民政府网站查询疫情风险等级,网址:http://bmfw.www.gov.cn/yqfxdjcx/index.html
咨询电话:0591-83760840陈老师
监督电话:0591-83761211
特此公告
附件:
福州职业技术学院
2021年12月1日
关注公众号优公教育
了解最新公考资讯
